变送器的测量膜片是金属平膜片,为什么其特性是线性的?
和杠杆式变送器相比,电容式、振弦式、扩散硅式等变送器有什么优点?
电容式、振弦式、扩散硅式等变送器是20世纪70年代开发出来的一代变送器,和它的上一代杠杆式变送器相比,具有许多优点。
① 结构简单。它们是基于微位移检测和转换技术,是微位移平衡式变送器,体积小,重量轻。不像杠杆式变送器,为了保证足够的测量力矩和反馈力矩,需要杠杆、支点、轴封膜片和较大的反馈机构。
② 精度高。电容式、振弦式、扩散硅式等变送器一般都0.25级,稳定性也好。而杠杆式变送器一般为0.5级,且由于机械零件多,支承、拉条、反馈波纹管等的弯曲疲劳、热膨胀等原因,稳定性也较差。
③ 测量范围宽,静压误差小。例如1151系列变送器的测量范围0~1.3kPa 到0~6890kPa。静压为13780kPa,零点变化***大量程的±0.5%。***大负迁移***小调校量程的600%,正迁移为***小调校量程的500%。
④ 调整、使用方便。
⑤ 二线制,本质安全防爆。
由于以上原因,这一代变送器至今还在我国广泛使用。
2.什么是1151变送器的δ室?它的结构怎样?
在1151变送器中,电容式敏感元件称δ室。它具有完全相同的两室,每室由玻璃与金属杯体烧结后,磨出球形凹面,然后镀一层金属薄膜,构成电容器的固定极板。测量膜片焊接在两个杯体之间,为电容器的活动极板。杯体外侧焊上隔离膜片,并在膜片内侧的空腔中充满硅油或氟油,以便传递压力。
当被测压力作用于膜片时,通过填充液使测量膜片产生位移,从而改变了可动极板与固定极板间的间距,引起电容变化,并通过引线传给测量电路。
当δ室受到过载时,测量膜片紧贴在球形凹面上,从而保证了单向压力时膜片不受损坏。
3.1151变送器中的测量膜片是金属平膜片,但为什么它的特性是线性的呢?
1151变送器中的测量膜片都是金属平膜片。平膜片形状简单,加工方便,但压力和位移的特性是非线性的,只有在下列情况下才是线性的:
① 膜片的位移远小于膜片的厚度时;
② 膜片在安装时,把它绷得很紧,使其具有初始张力,则在一定范围内,压力和位移也是线性的。
1151变送器要求测量膜片的位移很小,一般在0.1mm以下,而在测量高压力时,又要求膜片有足够的厚度和刚度,这正好满足平膜片线性特性的条件。
1151变送器在测量低压力时,采用薄膜片,而薄膜片在安装时容易绷紧,这也正好满足平膜片线性特性的另一条件。
所以1151在测高压力时,用厚膜片;测低压力时,用绷紧的平膜片,这样两者都有很好的线性特性。
4.请用框图形式,简述1151变送器的工作原理。
1151变送器的整机框图如图所示。它的工作原理如下。
被测差压△P作用到测量膜片两侧,使它产生位移,于是低压侧测量膜片和固定电极间的距离减小,电容CL增加;高压侧测量膜片和固定电极间距离增加,电容CH减小。由于该差动电容是接在高频振荡器的输出回路上,因此电容的变化就被转换高频电流IL和IH的变化,经解调(相敏整流)后输出两组信号:一组为差动信号IL-IH,另一组共模信号IL+IH。
共模信号IL+IH在振荡控制放大器输入端的两对基准电阻上产生输入电压U1,以和基准电压源在这两对电阻上产生的电压U2相比较,差值△U经放大后去振荡器。由于振荡器、解调器和振荡控制放大器组成深度负反馈电路,所以共模电流IL+IH的值保持不变,从而使振荡器的输出电压幅度Vpp、频率f和IL+IH三者的乘积不变,以提高仪表的稳定性。
差动电流IL-IH与被测差压成正比,它进入电流控制放大器,经放大与处理后,输出4~20mA电流信号。
零位和正负迁移调节是改变加在电流放大器输入端的偏置电流,量程调节则是改变电流负反馈系数,限流器是不让输出电流超过规定范围,以免损坏电子元件和保证本质安全的实现,反极性保护是在电源极性接反的情况下不使仪表损坏。
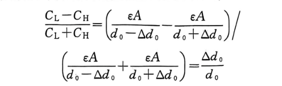
5.1151变送器采用的是近似平行板电容器,为什么电容和位移的关系又是线性的呢?
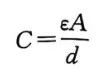
平行板电容器的电容公式
式中:C——电容量,F;
ε——介电常数,F/m;
A——极板面积,m2;
d——极板间距离,m。
显然,电容量C和极板间距d是非线性的。但如果采用差动电容结构,并取测量电容之差和电容之和的比,则和距离的变化呈线性关系,即
式中:
CL——低压侧极板和测量膜片之间的电容;
CH——高压侧极板和测量膜片之间的电容;
d0——极板间的初始距离;
△d0——极板间的变化距离。
所以在1151变送器中,电子线路测量的是CL-CH/CL+CH值,它和极板间的距离变化△d0呈线性关系。
06.
1151变送器的电容-电流转换电路由哪几部分组成?各有什么作用?
1151电容-电流转换电路的作用是将CL-CH/CL+CH转换成比例的测量电流Is。如图2-6所示,它由振荡器、振荡控制放大器和解调器组成。
振荡器由晶体管VT1、电阻R29、R30、电容C19、C20和变压器组成,其作用是产生交流激励电压供给调解器。振荡频率由测量部分的电容和变压器的电感决定,约32kHz。振荡幅度Vpp约为25~35V,幅值大小由振荡控制放大器IC1控制。
解调器由二极管VD1~VD4,电阻R2、R4、R5,电容CL、CH组成,其作用是将由激励电压1-12、2-11、3-10产生的流过敏感电容CL、CH的交流电流解调成直流电流IL和IH。由于IL和IH之差正比于CL-CH/CL+CH,因而只要测量电路(其等效电阻R0)测出IL-IH值,便可知CL-CH/CL+CH。
振荡控制放大器由线性电路IC1和基准电压源Es组成,它和解调器、振荡器构成深度负反馈控制电路,以保证流过CL、CH的电流IL、IH之和为定值。



