为什么管道内径小了,流量计就“测不准”了?
作者:
xpyb 添加时间:2026-03-09 09:14:38
多数人或许注意到,当管道内径等于或略大于测量管内径时,流量示值稳定、系数正常,即便有二次流产生,对仪表的影响也微乎其微。可一旦情况反转,管道内径小于涡街流量计测量管内径,问题便会凸显:不仅流量示值会出现强烈噪声,甚至让可测***小流量增大。面对这一影响测量精度的关键问题,该如何通过科学方法修正误差、恢复准确计量?下文将为你详细拆解解决方案。
管道内径比涡街流量计测量管内径小时,发现流量示值偏高,如何处理?在实际应用中,涡街流量计与管道内径完全匹配的情况并不常见。尤其在使用进口涡街流量计或引进国外技术生产的产品时,由于国外无缝钢管的外径标准与国内存在差异,更容易出现内径不一致的问题。例如,对于公称直径为6英寸的管道,国外标准的外径为168毫米,而国内标准为159毫米,两者相差较大。此外,即便公称直径相同,不同壁厚的无缝钢管也会导致内径出现显著差异,从而进一步加剧了内径匹配的难度。在实流标定中发现管道内径等于或略大于涡街流量计测量管内径时,流量示值稳定,流量系数正常。由于管径的差异,流体流过台阶时也有二次流产生,但因二次流存在的部件在测量管之外,对仪表的影响不明显,如下图所示。
3、管道内径比测量管内径小时有什么影响?
当管道内径比测量管内径小时,流量示值出现强烈的噪声,这是因为流体流过台阶时生的二次流,如图所示。
当管道内径小于测量管内径(3%以内)时,因为流体以很高的流速流经内径较大的测量管,由于流体的惯性作用,流束来不及膨胀,撞击在发生体上。测量管内流速分布如图所示,这样就使流量示值偏高。
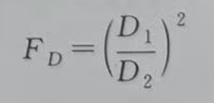
此误差可通过修正流量系数Km来补偿,其修正系数FD的表达式为:
式中D1——测量管实际内径;
D2——管道实际内径。
经过修正的流量系数K'm为:
流体流过测量管时,其流通截面积之所以不能立即扩大,是因流体流过测量管时流速高和它惯性的存在。
管道内径比涡街流量计测量管内径小带来的问题,除了上述的示值偏高外,还有其可测***小流量增大,因为通常涡街流量计安装处都是经缩径处理的。



浏览: