装置停车流量计仍高流量!罪魁祸首竟是保温伴热?
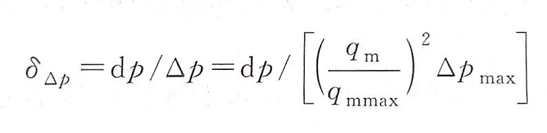
中石化某分公司精细化工事业部提出,有一套孔板流量计用来测量某装置蒸汽流量,装置已停车流量计仍指示很高流量,检查相关变送器、传感器及二次表均正常,正负压管排污扫线不堵不漏。后因结冰季节已过,顺手将伴热保温用蒸汽关掉,流量计示值恢复正常。 这是个典型的伴热保温不良引起仪表误差的案例。 1、为什么伴热保温不良会引起差压式流量计产生误差? 在石化和化工行业,常用差压式流量计测量蒸汽流量。差压装置送出的蒸汽差压信号,经冷凝罐转换成凝结水差压,再送差压变送器。由于大直径蒸汽管道大多安装在管架上,而差压变送器大多安装在地面以上1m左右的高度,这样,导压管内的凝结水就有较大的高度差。 由于伴热保温不合理,引起正负压管的凝结水平均密度出现差异,在如图所示的系统中,冷凝罐以下部分由于伴热保温不良引起的差压信号传递失真数值可用下式计算: 图 温度差引起的差压失真 式1:dp=(ρ+-ρ-)hg 式中dp——传递失真引起的附加差压值,Pa ρ+——正压管内凝结水平均密度,kg/m3 ρ-——负压管内凝结水平均密度,kg/m3 h——高度差,m g——重力加速度,9.8m/s2 例如,有一台差压式流量计,正压管内凝结水平均温度为30℃,相应的密度ρ+为995.7kg/m3;负压管内凝结水平均温度为40℃,相应的密度ρ-为992.2kg/m3;高度差h=6m。将这些数据代入式1,计算得到dp=(995.7-992.2)*6*9.8≈206Pa 2、差压信号传递失真对流量示值有什么影响? 因传递失真引起的差压信号偏移,在其数值确定之后,要进一步计算对流量示值的影响。影响的幅值与该套仪表的差压上限△ρmax有关,还与当前的流量qm有关。 先计算差压测量误差(式2): 式中δ△p——差压测量示值误差 dp——传递失真引起的差压偏移,Pa qm——当前流量,kg/h qmmax——满量程流量,kg/h △pmax——差压变送器上限值,Pa。 差压测量误差所引起的流量测量误差(式3):δq=1/2δ△p 式中δq——流量测量示值误差,0-100% δ△p——差压测量示值误差,0-100% 本例中的流量计,△pmax=20KPa,在qm/qmmax=0.7时,dq=206Pa引起的差压测量示值误差δ△p=2.1%,故δq=1/2δ△p=1.05% 从数值来看,所引起的流量示值误差并不严重,所以操作和管理人员未察觉。但在装置停车时,主管道阀门已关,实际流量为0,此时的差压即为dp,相应的流量示值应为(式4): 如此大的流量,人们想忽略也办不到。 在差压式流量计中,如果引压管内传递差压信号的介质为液体,有些会因环境温度太低而凝固、结晶或结冰,因此需要伴热保温。例如我国的北方和中部地区,冬季都会结冰,用来测量蒸汽流量的引压管内,介质为水,如果不加伴热,也未采取其他防冻措施,就容易结冰,影响正常测量,甚至冻坏仪表。 伴热保温常用电热带、蒸汽及热水作热源,此项工作大家都认为太简单了,只要做了就行,不会有什么严重后果。其实从现场的情况来看并非如此。主要问题如下。 ①不对称加热。为了使正、负压管内液体温度尽量相等,提供热源的电热带、热水管或伴热蒸汽管应敷设在两根导压管线之间,尽量保持等距离。但有的安装人员为了方便,却将正负压管保持数十厘米距离,而将伴热管同导压管中的一根靠得很近,以致两根导压管内的液体温差很大。 ②将信号管和伴热管分别做绝热保温,导致伴热管的热量传不到导压管上,丧失伴热作用。 ③用通有蒸汽的紫铜管直接绕在信号管上,可能导致介质部分汽化,管中介质密度变得很低、出现虚假差压低。 由导压管伴热保温不合理引起误差的例子不胜枚举,整改的措施有: ①按规范要求认真做好伴热保温工作; ②采用一体化差压流量计的结构,从而使式1中的h大大减小。 ③取消伴热保温,改用充灌防冻液的方法消灭冻害,如果处理得当,不仅可根除由伴热保温引起的差压信号传递失真,而且可节省伴热保温所消耗的能源。



